Request a call back and we will definitely call you back!
Balkancorex d.o.o. carries out direct deliveries of smoke pumps, draft machines and industrial equipment for smoke removal, on favorable terms for customers: the optimal price with high quality equipment, we deliver throughout Serbia, Europe and whole world, as well as a high level of service.
The range includes single-sided and double-sided centrifugal suction units with various parameters and technical characteristics and used for:
According to the customer's needs, Balkancorex d.o.o. specialists will select or design the necessary model of a smoke pump, blast or mill fan, optimally suitable for use in specific conditions.
The peculiarity of the functioning of the smoke extraction equipment is the redirection of the airflow supplied by the centrifugal energy of the impeller into the radial part of the unit, followed by output to the outside.
The equipment configuration and material of manufacture depends on the model of the smoke pump and its brand.
Advantages of smoke removal fans of Balkancorex d.o.o.
The most frequently ordered models include centrifugal thrust units of the D, VDN brands, blast fans of the VD, VDN, VGDN brands and mill fans of the VM brand.
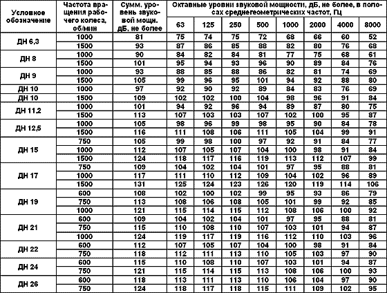
The Balkancorex d.o.o. company supplies household and industrial smoke pumps of various modifications D, DN, which are used in the transportation of non-aggressive air-gas media with a concentration of foreign particles of no more than 2 g per cubic meter, at temperatures up to 200 ° C.






Balkancorex d.o.o. manufactures VDN and VGDV blowers to support a continuous flow of fresh gas-air mixtures at temperatures ranging from -30°C to +80°C. These blowers handle foreign and dust inclusions, abrasives, explosive substances, sticky and fibrous impurities, with a maximum of 0.1 g per cubic meter.








At Balkancorex d.o.o., you can order mill-type fans (VM), which operate by transporting dust-air mixtures containing coal dust at a concentration of up to 80 g per cubic meter. These units are ideal for handling air-air mixtures with abrasive and sticky properties similar to coal dust, at temperatures not exceeding 200°C.



